DECRETO 4112.010.20.0761 DE 2019
(diciembre 31)
Boletín Oficial No. 212. Año. 2019. diciembre 31.
ALCALDÍA DE SANTIAGO DE CALI
Por el cual se modifica el decreto municipal 411.20-0867 de 2007 por medio del cual se adoptó el plan parcial para el área de planificación definida en el barrio el hoyo y el piloto, y se dictan otras disposiciones
EL ALCALDE DE SANTIAGO DE CALI
En ejercicio de sus facultades constitucionales y legales, en especial las conferidas por la Ley 388 de 1997, el Decreto Nacional 2181 de 2006, subrogado parcialmente por el Decreto Nacional 4300 de 2007, modificado por el Decreto Nacional 1478 de 2013 y compilado por el Decreto Nacional 1077 de 2015 y el Acuerdo Municipal 069 de 2000 y,
CONSIDERANDO:
Que la Subdirección de Planificación del Territorio del Departamento Administrativo de Planeación Municipal, de conformidad con el numeral 4 del artículo 80 del Decreto Extraordinario No. 411.0.20.0516 de 2016, tiene a su cargo “preparar y aprobar desde la dimensión técnica los proyectos de reglamentación, desarrollo e implementación de los instrumentos de planificación, gestión y financiación del suelo definidos por el Plan de Ordenamiento Territorial y las normas nacionales que lo complementen, modifiquen o sustituyan.”
Que de conformidad con lo dispuesto por el artículo 19 de la Ley 388 de 1997, "Los planes parciales son los instrumentos mediante los cuales se desarrollan y complementan las disposiciones de los planes de ordenamiento, para áreas determinadas del suelo urbano y para las áreas incluidas en el suelo de expansión urbana, además de las que deban desarrollarse mediante unidades de actuación urbanística, macroproyectos u otras operaciones urbanas especiales, de acuerdo con las autorizaciones emanadas de las normas urbanísticas generales, en los términos previstos en la presente Ley. (…)”.
Que de acuerdo con el artículo 113 de la Ley en mención, "(...)Se entiende por actuaciones urbanas integrales el desarrollo de programas y proyectos derivados de las políticas y estrategias contenidas en el pían de ordenamiento territorial de la respectiva entidad municipal o distrital, o dé planes parciales formulados de acuerdo con las directrices de tales políticas y estrategias (...)”.
Que los Decretos Nacionales 2181 de 2006, 4300 de 2007, 1478 de 2013, 019 de 2012, reglamentaban el procedimiento para la formulación y adopción de todo tipo de planes parciales, contenidos en el artículo 27 de la Ley 388 de 1997.
Que los mencionados decretos fueron compilados por medio del Decreto Nacional 1077 del 26 de mayo de 2015, "Por medio del cual se expide el Decreto Único Reglamentario del Sector de Vivienda, Ciudad y Territorio”.
Que de conformidad con el artículo 2.2.1.1 del Decreto Nacional 1077 de 2015, el Tratamiento de Renovación Urbana “(…). Son las determinaciones del componente urbano del Plan de Ordenamiento Territorial, están encaminadas a recuperar y/o transformar las áreas ya desarrolladas de ciudades, entre otros fines, para detener los procesos de deterioro físico y ambiental de los centros urbanos; promover el aprovechamiento intensivo la infraestructura pública existente; impulsar la densificación racional de vivienda y otros usos, o garantizar la conveniente rehabilitación los bienes históricos y culturales, todo con miras a una utilización más eficiente de inmuebles urbanos y con mayor beneficio para la comunidad. Este tratamiento podrá desarrollarse mediante modalidades de reactivación y redesarrollo (…)”
Qué en el marco del Acuerdo Municipal 069 del 26 de octubre de 2000 “Por medio del cual se adopta el Plan de Ordenamiento Territorial del Municipio de Santiago de Cali", se adoptó el Plan Parcial de renovación urbana El Hoyo y el Piloto por medio del Decreto Municipal 411.20.0867 del 21 de diciembre de 2007, “Por el cual se adopta el Plan Parcial de Renovación Urbana para la intervención integral de los barrios El Hoyo y El Piloto".
Que conforme a lo anterior y de acuerdo con lo dispuesto en el artículo 27 de la Ley 388 de 1997, modificado por el Decreto-Ley 019 de 2012, la modificación del mencionado plan parcial, se sustentará en la misma reglamentación con que fue aprobado el plan parcial, salvo que los interesados manifiesten lo contrario.
Que el artículo 493 del Acuerdo Municipal 069 de 2000, de conformidad con lo dispuesto en el artículo 19 de la Ley 388 de 1997, consagra que "el planeamiento de todas las áreas del suelo de expansión que vayan a ser desarrolladas o incorporadas a los usos Urbanos, las porciones de suelo urbano que deban desarrollarse mediante Unidades de Actuación Urbanística, Macroproyectos u Operaciones Urbanas Especiales y aquellas para las cuales se disponga expresamente en el Plan de Ordenamiento Territorial, deberá definirse de manera obligatoria a través de Planes Parciales, de conformidad con el procedimiento previsto en la Ley. Los Planes Parciales en suelo urbano de renovación o rehabilitación podrán ser de iniciativa pública, mixta o privada".
Que el Acuerdo Municipal 069 de 2000 en sus artículos 296 al 299, establece el conjunto de normas urbanísticas generales aplicables al Tratamiento de Renovación Urbana mediante el instrumento de plan parcial, las cuales deberán ser complementadas en desarrollo del artículo 19 de la Ley 388 de 1997.
Que el Acuerdo Municipal 069 del 2000 - Plan de Ordenamiento Territorial de Santiago de Cali, aplicable al presente trámite, en los artículos 494 a 505, define los Planes Parciales como instrumentos de gestión urbana.
Que de conformidad con el artículo 326 del Acuerdo 069 del 2000, al área que conforma el presente plan parcial le aplica el Tratamiento de Renovación Urbana por Redesarrollo, la cual según el artículo 297 del referido Acuerdo Municipal, corresponde a sectores que están sujetos a un proceso de reordenamiento general, el cual implica la generación de un nuevo espacio urbano ambiental completamente renovado, sustitución total y parcial de las redes de infraestructura y elevación sustancial de índices de construcción y de las alturas resultantes. Así mismo, en las actuaciones de renovación urbana por redesarrollo se realizarán los replanteamientos de espacio público requeridos por el respectivo plan parcial.
Que mediante la Resolución 4132.0.21.132 del 4 de junio de 2009, "Por medio de la cual se define el esquema de gerencia y ejecución de los planes parciales adoptados en los barrios El Calvario, Sucre, el Hoyo y el Piloto", expedida por el Departamento Administrativo de Planeación Municipal DAPM, modificada por la Resolución 4132.0.21.063 de febrero 1 de 2011 "Por medio de la cual se modifica el esquema de gerencia y ejecución de los planes parciales adoptados en los barrios El Calvario, Sucre, El Hoyo y El Piloto", se definieron las condiciones para la concurrencia del sector privado en la ejecución de los citados proyectos y para la correcta ejecución de los planes parciales.
Que la Empresa Municipal de Renovación Urbana -EMRU, Empresa Industrial y Comercial del Municipio, tiene por objeto ejecutar acciones urbanas integrales y desarrollar programas y proyectos derivados de las políticas y estrategias contenidas en el Plan de Ordenamiento Territorial y gestionar, promover y coordinar proyectos de renovación urbana, que sean sostenibles y garanticen una intervención del sector privado, los actores sociales y la Administración Central de la Alcaldía de Cali.
Que en cumplimiento de lo anterior, la EMRU EIC suscribió el Convenio de Cooperación "Alianza para la Renovación Urbana de Santiago de Cali", con Alianza Fiduciaria S.A., el trece (13) de agosto de 2013.
Que en vigencia del Acuerdo Municipal 069 de 2000, mediante el Decreto Municipal 411.20.0867 del 21 de diciembre de 2007, se adoptó el plan parcial de renovación urbana para el Área de Planificación definida en el barrio El Hoyo y El Piloto de Santiago de Cali, como instrumento de planificación complementario al Plan de Ordenamiento Territorial.
Que mediante el Decreto 411.20.0894 del 22 de diciembre de 2014, se amplió la vigencia del plan parcial El Hoyo y Piloto, en siete (7) años a partir de la publicación del acto administrativo modificatorio, el cual fue publicado en el Boletín Oficial No. 178 del 29 de diciembre de 2014.
Que la Empresa Municipal de Renovación Urbana -EMRU EIC el 22 de septiembre de 2015, mediante oficio No. 2015411100961942, radicó la solicitud de determinantes para el ajuste y modificación del plan parcial de renovación urbana El Hoyo y El Piloto.
Que el Departamento Administrativo de Planeación Municipal el 02 de octubre de 2015, mediante oficio No. 2015413220081281 devolvió, sin trámite, la documentación de la solicitud realizada por la EMRU EIC en el oficio del 22 de septiembre de 2015, dado que no se dio cumplimiento a los requisitos mínimos establecidos en el artículo 2.2.4.1.1.3 del Decreto Nacional 1077 de 2015.
Que la Empresa Municipal de Renovación Urbana -EMRU EIC, mediante oficio No. 2015411101130402 del 30 de octubre de 2015, radicó la solicitud de definición de determinantes para el ajuste y la modificación del plan parcial de renovación urbana El Hoyo y El Piloto ajustada, para proceder con el inicio del respectivo trámite.
Que el Departamento Administrativo de Planeación Municipal el 12 de noviembre de 2015, mediante oficio No. 2015413220111131 hizo devolución del trámite, dado que no se cumplieron los requerimientos establecidos en el Decreto Nacional 1077 de 2015, señalados en el oficio No. 2015413220081281 emitido por la entonces Subdirección de POT y Servicios Públicos.
Que la Empresa Municipal de Renovación Urbana -EMRU EIC el 20 de enero de 2016, mediante oficio No. 2016411100043312 radicó nuevamente la solicitud de definición de determinantes para el ajuste y la modificación del plan parcial de renovación urbana El Hoyo y El Piloto.
Que el Departamento Administrativo de Planeación Municipal el 29 de enero de 2016, mediante oficio No. 2016413220005021 dio respuesta al oficio de radicación del 20 de enero de 2016 radicado por la EMRU EIC, solicitando complementar la documentación de la solicitud, de conformidad con lo establecido en el Decreto Nacional 1077 de 2015.
Que el día 17 de febrero de 2016, la entonces Subdirección del POT y Servicios Públicos del DAPM mediante oficio No. 2016413220002714 solicitó a la Subdirección de Impuestos, Rentas y Catastro Municipal la información de la estructura predial con su respectiva base de datos para el área de planificación del plan parcial El Hoyo y El Piloto. Dicha dependencia dio respuesta a la solicitud mediante oficio No. 2016413150006184 del 31 de marzo de 2016, en la cual adjuntó información en formato DWG y un archivo alfanumérico con la información requerida.
Que el 12 de abril de 2016 mediante oficio No. 2016413220024681, la entonces Subdirección del POT y Servicios Públicos, remitió a la EMRU EIC la información aportada por la Subdirección de Impuestos, Rentas y Catastro Municipal, para que fuera incorporada y tenida en cuenta para la complementación de la solicitud de determinantes del plan parcial El Hoyo y el Piloto.
Que la Empresa Municipal de Renovación Urbana - EMRU EIC el 11 de octubre de 2016, mediante oficio No. 2016411101159182, radicó la solicitud de definición de determinantes para la modificación del plan parcial de renovación urbana El Hoyo y El Piloto.
Que el 21 de octubre de 2016, la entonces Subdirección del POT y Servicios Públicos mediante oficio No. 2016413220072401 requirió a la EMRU EIC la complementación de la radicación del 11 de octubre de 2016, considerando que esta no daba cumplimiento a lo dispuesto en el artículo 2.2.4.1.1.3 del Decreto Nacional 1077 de 2015, en especial, acerca del contenido de la información predial, así como de los aspectos cartográficos del área debidamente georreferenciados.
Que la Empresa Municipal de Renovación Urbana -EMRU EIC el 03 de febrero de 2017, mediante oficio No. 201741730100098652 radicó la solicitud de definición de determinantes para el ajuste y la modificación del plan parcial de renovación urbana El Hoyo y El Piloto.
Que el día 21 de febrero de 2017, la Subdirección de Planificación del Territorio mediante oficio No. 201741320500007661 atendió la radicación realizada por el EMRU EIC el 03 de febrero, solicitando el ajuste de contenidos asociados a la información predial y cartográfica aportada en la solicitud para dar continuidad al respectivo trámite.
Que la Empresa Municipal de Renovación Urbana -EMRU EIC el 08 de marzo de 2017, mediante oficio No. 201741730100228002 dio respuesta a la comunicación emitida por la Subdirección de Planificación del Territorio, respecto de los contenidos de la solicitud de determinantes para el ajuste del plan parcial de renovación urbana El Hoyo y El Piloto.
Que la Subdirección de Planificación del Territorio en cumplimiento de lo dispuesto en el artículo 2.2.4.1.1.4 del Decreto Nacional 1077 de 2015, mediante oficios Nos. 201741320500003064, 201741320500003074, 201741320500019051, 201741320500019061, 201741320500019081, 201741320500019101, 201741320500018871, 201741320500002974, 201741320500003004, 201741320500003014 y 201741320500003044, solicitó el pronunciamiento sobre aspectos y temas con incidencia o responsabilidad en el desarrollo del plan parcial y que debían considerarse como determinantes a la Secretaría de Movilidad, la Subdirección de Espacio Público y Ordenamiento Urbanístico del DAPM, la Unidad Administrativa Especial de Gestión de Bienes y Servicios, las Gerencias de Unidad Estratégica de Acueducto y Alcantarillado, de Unidad Estratégica de Energía de EMCALI, y de Unidad Estratégica de Telecomunicaciones de EMCALI, Metrocali S.A, Gases de Occidente, la Unidad Administrativa Especial de Servicios Públicos, la Subdirección de Catastro Municipal, el Departamento Administrativo de Gestión del Medio Ambiente y la Secretaría de Infraestructura, respectivamente.
Que cumplidos los términos para los pronunciamientos de la coordinación interinstitucional antes descritos, se recibieron conceptos de Metrocali S.A., con oficio con radicado No. 201741730100358382 del 6 de abril de 2017, la Gerencia de Unidad Estratégica de Acueducto y Alcantarillado de Emcali con oficio con radicado No. 201741730100345272 del 04 de abril de 2017, la Gerencia de Unidad Estratégica de Energía de Emcali, con oficio con radicado No. 201741730100345372 del 04 de abril de 2017, la Secretaría de Infraestructura con oficio con radicado No. 201741510100001104 del 6 de abril de 2017, la Unidad Administrativa Especial de Gestión de Bienes y Servicios con oficio con radicado No. 201741810100011514 del 29 de marzo de 2017 y la Subdirección de Espacio Público y Ordenamiento Urbanístico con oficio con radicado No. 201741320300006514 del 31 de marzo de 2017.
Que el DAPM reiteró la solicitud de concepto de determinantes a la Gerencia de Unidad Estratégica de Telecomunicaciones de Emcali, al Departamento Administrativo de Gestión del Medio Ambiente - DAGMA, a Gases de Occidente, a la Secretaría de Movilidad, a la Subdirección de Catastro Municipal y a la Unidad Administrativa Especial de Servicios Públicos.
Que los restantes conceptos se recibieron mediante los oficios con radicado No. 201741310500008464 del 05 de abril de 2017 (recibido el 20 de abril de 2017) de la Subdirección de Catastro: oficio No. 20174182100003194 del 05 de abril de 2017 (recibido el 21 de abril de 2017) de la Unidad Administrativa Especial de Servicios Públicos Municipales; oficio No. 201741730100414922 del 25 de abril de 2017, de la Gerencia de Unidad Estratégica de Negocio de Telecomunicación de Emcali; oficio No. 201741330100021844 del 21 de abril de 2017, del Departamento Administrativo de Gestión del Medio Ambiente -DAGMA-; oficio No. 201741520200000324 del 04 de abril de 2017 (recibido el 25 de abril de 2017) de la Secretaría de Movilidad.
Que la Subdirección de Planificación del Territorio del Departamento Administrativo de Planeación, en el marco de los artículos 2.2.4.1.1.3, 2.2.4.1.1.4 y 2.2.4.1.1.5 del Decreto Nacional 1077 de 2015, emitió la Resolución No. 4132.050.21.001 del 26 de abril de 2017 ''Por medio de la cual se emite concepto de determinantes para el ajuste del plan parcial de renovación urbana El Hoyo y El Piloto, localizado en Un Sector de la Comuna 3” notificada personalmente al señor NELSON NOEL LONDOÑO PINTO identificado con cédula de ciudadanía 94.150.263 en calidad de Gerente de la Empresa de Renovación Urbana EMRU - EIC, el 28 de abril de 2017.
Que mediante oficio No. 201841730101662892 del 26 de noviembre de 2018, la Empresa de Renovación Urbana EMRU - EIC en conjunto con la Alianza para la Renovación Urbana de Cali- ARUC, radicaron los documentos de la formulación del ajuste y modificación del plan parcial de renovación urbana El Hoyo y El Piloto.
Que el señor NELSON NOEL LONDOÑO PINTO, identificado con cédula de ciudadanía No. 94.150.263 de Tuluá, actúa dé conformidad con el Decreto No.411.0.20.0461 del 04 de agosto de 2016, "Por el cual se realiza un nombramiento ordinario en la Empresa de Renovación Urbana EMRU- EIC” y Acta de Posesión No. 0418 de 2016 como Gerente adscrito a la citada Empresa.
Que la señora SONIA FABIOLA AMAYA MONTOYA, identificada con cédula de ciudadanía No. 31.268.534 de Zarzal, actúa en calidad de apoderada del señor FELIPE OCAMPO HERNÁNDEZ, identificado con la cédula de ciudadanía No. 16.657.159 representante legal de Alianza Fiduciaria S.A identificada con Nit No. 860531315-3, quien manifiesta que la Fiduciaria es Vocera y Administradora del Fideicomiso "Alianza para la Renovación Urbana de Cali", de conformidad con el poder otorgado el día 24 de octubre de 2019, en la Notaría Primera del Círculo de Cali.
Que teniendo en cuenta el proceso de coordinación interinstitucional, la EMRU ElC suscribió el día 5 de Septiembre de 2017, el Convenio Marco Interadministrativo No. 300-GAA-CIAC-1118-2017 con EMCALI ElC ESP, como mecanismo para adelantar la planificación y ejecución de actuaciones conjuntas y concertadas del sector público con el sector privado en lo concerniente en servicios públicos de los proyectas de renovación urbana que se proponga desarrollar el municipio de Santiago de Cali, con el propósito de garantizar la realización efectiva y la equitativa distribución dé cargas y beneficios derivados de la presente actuación.
Que el numeral 3o del artículo 299 del Acuerdo 069 de 2000 Plan de Ordenamiento Territorial vigente al momento de la expedición del Pian Parcial de renovación urbana El Hoyo y El Piloto, determina que “(…) En las actuaciones de Renovación por Redesarrollo se harán los replanteamientos indispensables del espacio público requeridos portas Unidades de Actuación o por los Planes Parciales que se definan, y el espacio público resultante del reintegro de tierras deberá ser igual o mayor al espacio preexistente según lo determine el Departamento Administrativo de Planeación"
Que en el numeral 6 del mismo artículo se define que el tratamiento de Renovación permitirá un cambio de la actividad preexistente, siempre y cuando no vaya en detrimento de la calidad física, espacial y ambiental, de acuerdo con las directrices emanadas del Plan Parcial y/o las reglamentaciones surgidas de la ficha normativa.
Que conforme a lo anterior, se considera viable adelantar el proceso de integración inmobiliaria de suelo privado y de espacio público, incluyendo el nuevo loteo, de conformidad con lo establecido en la Ley 388 de 1997, en el Acuerdo Municipal 069 de 2000 y en el presente Decreto garantizando las condiciones de Calidad, accesibilidad y localización del espacio público.
Que por ser un aspecto de carácter jurídico y procedimental asociado al proceso de gestión predial posterior a la adopción del plan parcial, la Dirección Jurídica de la Alcaldía (hoy Departamento Administrativo de Gestión Jurídica Pública), realizó el análisis jurídico pertinente de los aspectos referidos en los anteriores considerandos, según consta en el Acta No. 4120.0.1.016 del 01 de marzo de 2016, donde se conceptuó que para el desarrollo del proceso de integración inmobiliaria requerido para la ejecución del presenté plan parcial, el Concejo de Santiago de Cali autorizó el replanteamiento o cambio de destinación del espacio público que se encuentra dentro del plan parcial, y en consecuencia, es posible la realización del proceso de integración inmobiliaria de suelo privado y dé espacio público, que incluya el nuevo loteo.
Que mediante la Circular No. 4132.050.22.1.1019.0020T3 de 16 de marzo de 2017, "POR LA CUAL SE PRECISA LA CIRCULAR No. 2014413220005684 DEL 18 DE MARZO DE 2014 EN RELACIÓN CON LOS PLANES PARCIALES DE RENOVACIÓN URBANA EN LA MODALIDAD DE REDESARROLLO Y SUS UNIDADES DE ACTUACIÓN, CUANDO IMPLIQUEN LA DESAFECTACIÓN Y COMPENSACIÓN DE BIENES DE USO PÚBLICO", el Departamento Administrativo de Planeación Municipal DAPM, precisó lo relacionado con el proceso para adelantar el trámite de desafectación y compensación de bienes de uso público y su reintegro cuando este proceso deba darse en el marco de las unidades de actuación y planes parciales de renovación urbana por redesarrollo, en la aplicación del artículo 299 del Acuerdo 069 de 2000, indicando con claridad que según el artículo 299 del citado Acuerdo, en el Decreto del Plan Parcial se adoptará el replanteamiento o cambio de destinación del espacio público que se encuentra dentro de su área de planificación, siempre que el espacio público resultante sea igual o mayor al preexistente.
Que, conforme a lo anterior, se considera viable adelantar el proceso de integración inmobiliaria de suelo privado y de espacio público, Incluyendo el nuevo loteo, de conformidad con lo establecido en la Ley 388 de 1997, en el Acuerdo Municipal No. 069 de 2000 y en el presente Decreto garantizando las condiciones de calidad, accesibilidad y localización.
Que, en virtud de lo expresado, los aprovechamientos urbanísticos y en consecuencia, la ejecución del instrumento, quedarán supeditados al cumplimiento de la legalización y entrega efectiva de los espacios públicos restituidos.
Que el procedimiento para reconocer y valorar el suelo de uso público desafectado mediante el presente Plan Parcial, para proceder a la formalización de la integración inmobiliaria y en consecuencia al reintegro posterior de las áreas restituidas al Municipio, dependerá de la evaluación, aprobación y lineamientos que determinen los distintos organismos de la Administración Municipal acorde con su competencia, con posterioridad a la adopción del presente Plan Parcial.
Que el plan parcial de renovación urbana El Hoyo y el Piloto, se encuentra delimitado de la siguiente manera:
Por el Norte: Margen derecha del Río Cali, en el tramo comprendido entre el eje de la Callé 15 y el eje de la Calle 25,
Por el Oriente: El eje de la Calle 25, entre el tramo comprendido entre la margen derecha del Rio Cali y la Carrera 1,
Por el Sur: El eje de la Carrera 1, en el tramo comprendido entre el eje de la Calle 25 y la Calle 17, continuando por la Carrera 2 hasta el eje de la Calle 15,
Por el Occidente: El eje de la Calle 15, entre la margen derecha del Río Cali, y la Carrera 2.
Que la superficie delimitada como área de planificación del plan parcial en el Decreto 411.20.0867 del 21 de diciembre de 2007, tiene una cabida de 235.037,2035 metros cuadrados, área que se encuentra delimitada en el Mapa No. 00 "LEVANTAMIENTO TOPOGRÁFICO H Y P”.
Que la composición predial del área de planificación, entendida como la identificación de los predios privados que componen el plan parcial al momento de adopción del Decreto No. 411.20.0867 del 21 de diciembre de 2007, se encuentra en el Mapa No. 1A y 1B "DELIMITACIÓN DEL ÁREA DE PLANIFICACIÓN", que hace parte integral del presente acto administrativo.
Que por medio de oficio No. 201941320500000971 del 15 de enero de 2019, la Subdirección de Planificación del Territorio, informó a la EMRU EIC, que en los términos del artículo 2.2.4.1.1.9 se pronunciaría respecto a la viabilidad de la formulación de la modificación del plan parcial El Hoyo y El Piloto a más tardar el 25 de febrero de 2019.
Que en oficio No. 201941320500014341 del 22 de febrero de 2019, la Subdirección de Planificación del Territorio emitió las observaciones a la formulación de la modificación del plan parcial El Hoyo y El Piloto, el que fue recibido por la EMRU EIC el día 27 de febrero de 2019.
Que mediante oficio No. 201941320500017491 del 04 de marzo de 2019, en cumplimiento del artículo 2.2.4.1.1.8 del Decreto Nacional 1077 de 2015, la Subdirección de Planificación del Territorio, solicitó a la EMRU EIC, la publicación de la convocatoria pública a vecinos del plan parcial de renovación urbana El Hoyo y El Piloto.
Que el 22 de marzo de 2019, la Empresa de Renovación Urbana EMRU - EIC, con base en lo dispuesto en el artículo 17 de la Ley 1437 de 2011 - Código de Procedimiento Administrativo y de lo Contencioso Administrativo, solicitó prórroga por el término de un (1) mes para responder a las observaciones realizadas por la Subdirección de Planificación del Territorio.
Que en oficio de respuesta No. 201941730100361072 del 02 de abril de 2019, la citada Subdirección atendió la solicitud de prórroga indicando que la misma era procedente. El oficio de respuesta fue recibido por la EMRU EIC el día 25 de abril de 2019.
Que mediante escrito radicado No. 201941730100617352 del 16 de mayo de 2019, la EMRU EIC en conjunto con la Alianza para la Renovación Urbana de Cali -ARUC, radicaron las respuestas a las observaciones realizadas a la formulación de la modificación del plan parcial El Hoyo y el Piloto.
Que el día 10 de junio de 2019, la Subdirección de Planificación del Territorio por medio de oficio No. 201941320500050101, en los términos del artículo 2.2.4.1.1.9 del Decreto Nacional 1077 de 2015, informó a la EMRU EIC y a la ARUC que se pronunciaría a más tardar el día 02 de julio de 2019.
Que en el marco de la revisión a los ajustes del plan parcial en comento, mediante oficio No. 201941320500008104 del 12 de junio de 2019, la Subdirección de Planificación del Territorio, solicitó a la Unidad Administrativa Especial de Bienes y Servicios, la información concerniente a la identificación de los bienes inmuebles al interior del área de planificación del plan parcial El Hoyo y El Piloto.
Que él día 14 de junio de 2019, por medio de oficio No. 201941320500008224, la Subdirección de Planificación del Territorio solicitó un espacio en el Comité de Movilidad programado para el día 02 de julio de 2019, con el objeto de dar a conocer aspectos relevantes de la formulación de la modificación del plan parcial El Hoyo y el Piloto, por cuanto dentro de la modificación solicitada se encuentran algunas asociadas al sistema de movilidad y algunas de las observaciones realizadas en este tema al formulador no fueron acogidas, por lo que se requiere que las respuestas sean evaluadas por ese comité, dada la complejidad en términos de movilidad que representa dicho plan parcial y el desarrollo de al menos 5000 viviendas en su ámbito de planificación.
Que en cumplimiento de lo dispuesto en el artículo 2.2.4.1.1.8 del Decreto Nacional 1077 de 2015, la publicación de la citación a vecinos e interesados en el Plan Parcial El Hoyo y el Piloto, se realizó en el Diario Occidente del 18 de junio de 2019, página 10''edictosyavisosdeley.occidente.co”.
Que por medio de oficio No. 201941810100029834 del 10 de julio de 2019, la Unidad Administrativa Especial de Bienes y Servicios, informó a la Subdirección de Planificación del Territorio, que respecto a la información predial y la calidad del bien del área de planificación del Hoyo y El Piloto, había solicitado información a Metrocali S.A, en relación con el área marginal del río Cali entre Galles 17 a 25 de la ciudad, por cuanto esa empresa se encontraba realizando negociaciones en dicho sector.
Que el día 17 de julio de 2019, se realizó la sesión ordinaria 5-19 del Comité de Movilidad en la que según el Acta No. 4152.0.1.05, se realizó la presentación del plan de movilidad del Plan Parcial El Hoyo y el Piloto, a cargo de la Subdirección de Planificación del Territorio, así:
“(…)
Juan David González, ingeniero de la Subdirección de Planificación del Territorio, explicó que esta dependencia se encuentra en la evaluación del plan parcial de renovación urbana del Hoyo y el Piloto. Para lo cual se presenta ante el Comité el estudio de movilidad, considerando la propuesta vial del plan parcial y las importantes modificaciones planteadas.
El arquitecto Edwin Segura Guerrero, manifestó que con la propuesta Urbana se evidencia múltiples modificaciones al plan parcial original, en dónde se plantea una propuesta mixta con actividades comerciales y la inclusión de aproximadamente 6.500 viviendas. Se requiere que el Comité de Movilidad evalué la integración en términos de movilidad, a partir de las nuevas densidades que se están proponiendo, junto con la conectividad y accesibilidad que tendrán los usuarios.
El estudio de movilidad presentado plantea propuestas viales que difieren del plan parcial inicial como: La ampliación a dos (2) carriles la Calle 15 entre Carrera 2 y Carrera 4Norte, así como la concepción de que todo el borde al río sea fundamentalmente de espacio público y no tenga circulación vehicular, a excepción del espacio para el Sistema de Transporte Masivo-MIO. Ante lo cual SPT, plantea una preocupación ante la propuesta y la accesibilidad de la zona.
El ingeniero Luis Ernesto Díaz explicó que, el estudio de movilidad cubre la zona de influencia descrita en la Figura 6, la cual está delimitada así: Norte- Avenida 4N entre Calles 15 y 25, Oriente - Calle 25 entre avenida 4N y Carrera 5, sur- Carrera 5 entre Calles 25 y 15, occidente- Calle 1.5 entre Carrera 5 y avenida 4N. Y se encuentra enmarcado en la UPU 6-Centro. (...)
En general, la jerarquización vial en su mayoría es arterial, entre ellos la Carrera 5, Carrera 1 y Avenida las Américas (Avenida 3N), Carrera 15 entre otras y algunas vías colectoras y locales. El estudio incluye, además, un componente de matriz Origen - Destino de cordón externo al área de estudio, se arroja que el sector del Hoyo no es generado ni atractor de viajes, mientras que, San Nicolás si lo es.
El estudio cuenta con los componentes de volúmenes, velocidades, accidentalidad, estacionamiento, transporte público abarcando hasta el barrio San Nicolás; se realiza un estudio de capacidad y nivel servicio utilizando un modelo de microsimulación TSIS NETSIM (modelo americano antiguo pero valido) obteniendo resultados básicos de la simulación.
Lo que se requiere es que, el Comité de Movilidad evalué (sic) la propuesta y tres planteamientos específicos que ha planteado la EMRU ElC, desarrollador del proyecto.
Como propuestas viales al interior del área del plan parcial se plantearon siguientes intervenciones:
(1) “Ampliar a dos carriles la Calle 15 entre Carrera 2 y Carrera 4 Norte.
(2) En el lado occidental de El Piloto, reservar la zona que permita la futura ampliación de la Calle 21 a dos calzadas, con separador central.
(3) Ampliar a dos carriles las calzadas de servició de la Carrera 1 y la Carrera 4 Norte.
(4) Asignar, en toda su longitud, doble sentido a la Carrera 2 Norte.
(5) Asignar un solo sentido, Sur- Norte, a la Calle 23.
(6) Asignar un solo sentido, Norte- Sur, a la Calle 24.
(7) Reservar, como zona verde, el área que permita a la ciudad, en un futuro, la conexión Carrera 1 - Calle 25 (tipo 'Oreja', por ejemplo, proyecto 9, de los proyectos de categoría ciudad, relacionados antes.
(8) Reservar área que permita, en un futuro, la creación, a partir de la Carrera 2 Norte, del acceso a la conexión Carrera 1 - Calle 25, proyecto 9, de los proyectos de categoría ciudad, relacionados antes.
(9) Generar carril para flujo vehicular en Carrera 4 Norte, entre Cale 21 y Calle 22, incorporado a la intersección semaforizada de la Calle 21 con Carrera 4 Norte".
Es importante identificar al interior de la propuesta, las siguientes vías: redimensionar la Carrera 4N (vía paralela a la troncal del MIO), ampliar a dos (2) carriles de 7,2m, la calzada auxiliar de la Carrera 1 (que actualmente dispone de un carril auxiliar sin continuidad).
Adicionalmente, la propuesta considera en el corto plazo proyecto de ampliación a dos calzadas de dos carriles por sentido en la Calle 21, entre Avenida 3N y Carrera 8, con un separador central, que permita salida de la zona de estudio hacia el norte y sur de la ciudad. El proyecto sin embargo no considera la continuidad de la Calle 23 planteada en el Plano de Jerarquización vial del POT 2014, Para lo cual el proyecto Parque Lineal Río Cali conservó el derecho de vía.
De igual forma se aclaró que, la prolongación de la Calle 23 sobre el río Cali a través de un puente vehicular para conectar con la calzada actual de la Calle 22N, se encuentra incluida en el PIMU. Lo anterior teniendo en cuenta las solicitudes de la comunidad.
El estudio de movilidad plantea, además, propuestas viales por fuera del área de este, para que sean ejecutadas por la Administración Municipal, como se describe a continuación: (...)
(1) Calle 15 - Carrera 1: pretende la integración del Bulevar del Río con el Parque Lineal del río Cali, mediante una conexión urbanística a nivel, así mismo dar continuidad al túnel urbano de la Carrera 1 hasta la Calle 17 y solucionar a nivel los demás movimientos vehiculares en la intersección con la Calle 15, lo que implica la eliminación del actual puente vehicular de la Carrera 1 sobre la Calle 15, también, se busca generar conexión de la Carrera 1 con la Avenida 3N a través de la Calle 21.
(2) Calle 21, entre Avenida 3 Norte y Carrera 8: a corto plazo se proyectó la ampliación a dos calzadas de la Calle 21, entre Avenida 3N y Carrera 8, de dos calzadas con separador central, para evitar su impacto en el Proyecto del Parque del Río Cali, que en la actualidad segmenta, y la propuesta es pasar por encima a desnivel, de la Avenida 2 Norte.
(3) Avenida 2 Norte - Calle 25: contempla la eliminación de esta intersección; dando continuidad de los flujos vehiculares procedentes de la Carrera 1 hasta la glorieta de la Calle 34 Norte con Avenida 3 Norte, para los flujos de taxis urbanos y de vehículos particulares que salen de la Terminal Intermunicipal de Pasajeros, se establece la conexión, a flujo libre, a través de la Avenida 2 Norte, con la Calle 25, en el sentido Sur - Norte, en procura de un giro en 'U' que le permita tomar la Calle 25, en el sentido Norte -Sur. En este punto se propone una intersección semaforizada, de dos fases, coordinada con la intersección semaforizada frente a la entrada al túnel que conduce a la Terminal Intermunicipal de Pasajeros, para resolver el entrecruzamiento del flujo anterior con el que viene por la Calle 25, frente a las instalaciones de Metro Cali S.A. Limitar el acceso a la Avenida 2N, desde la Calle 25, mediante un carril exclusivo y aislado con separador, que inicia en la Avenida 2CN o antes. El acceso de los buses padrones del MIO, que vienen por la Calle 25, a la Troncal de la Carrera 4 Norte.
(4) Avenida 3 Norte - Avenida 2 Norte - Calle 18 Norte: mejoramiento geométrico de la intersección, como intersección semaforizada, y asignar doble sentido de circulación a la Calle 18 Norte.
(5) Calle 15, entre Carrera 1 y Carrera 4 Norte: ampliación de este tramo a dos carriles, para el flujo peatonal, en este punto, se propone un puente peatonal sobre el río Cali.
(6) Galle 25 - Carrera 5: Intersección a desnivel, mediante depresión de la Carrera 5, a partir de la Calle 24; También, una conexión deprimida Calle 25 - Carrera 5, giro a la izquierda. Para ello se debe duplicar, hacia el Norte, el actual paso inferior de la Carrera 5.
(7) Semi peatonalización de vías adyacentes al hospital San Juan de Dios: Carrera 4 entre Calles 15 y 18, Calle 17 entre Carreras 1 y 4.
(8) Conexión Carrera 1 - Calle 25: (tipo oreja, por ejemplo) conexión tipo 'oreja' para los flujos vehiculares de la Carrera 1, sentido este - oeste.
igualmente se plantean intervenciones por fuera: del área de estudio, como se describen a continuación:
(1) Optimización de la Calle 34
(2) Optimización de la Carrera 28D
(3) Optimización de la Calle 33 A - Diagonal 19
(4) Conexión Transversal 25 -Calle 28, hasta Calle 27
(5) Optimización de la Calle 27
(6) Optimización de la Calle 44
(7) Optimización de la Diagonal 30
(8) Avenida de Los Cerros
(9) Par Vial paralelo al Corredor Férreo
(10) Solucionar como intersecciones a desnivel los siguientes puntos: Calle 34 con Avenida 4 Norte (34-1), con Carrera 5 (34-2), con Carrera 7 (34-3), con Carrera 8(34-3) y con Autopista Sur (34-4).
Lo anterior se complementa con la optimización de las siguientes intersecciones semaforizadas: Carrera 34- Carrera 5 Norte, Carrera 2 Norte, Carrera 1, Carrera 4, Carrera 10, Carrera 12, Carrera 15 y con Carrera 26.
Igualmente, se mencionó que se debe tener en cuenta lo establecido en al UPU 6- Centro Gomo PROYECTO INTEGRAL COMERCIO Y SERVICIOS INDUSTRIALES SAN NICOLÁS, que se encuentra formulada.
Finalmente, se aclaró que la SPT, realizó inicialmente unas observaciones al estudio de la EMRU EIC y después de presentadas, la EMRU EIC decidió quedarse nuevamente con la propuesta inicial del plan parcial, por lo tanto, el objetivo de presentar el tema ante el Comité de Movilidad es que se analice la propuesta inicial y también las observaciones de la Subdirección de Planificación del Territorio para emitir un concepto al respecto.
Ante lo cual la EMRU EIC manifestó que se mantuvieron las propuestas argumentando que el UPU 6 aún no se encuentra adoptada y el PIMU fue adoptado mediante decreto y no por acuerdo.
Observaciones y comentarios:
El señor Carlos Alberto Becerra manifestó que para el caso de movilización del SITM- MIO, no hay una propuesta que garantice una mejora a la accesibilidad hacia el sistema, esos corredores son unidireccionales para el sistema: en el costado norte esta la estación Rio Cali, que actualmente está subutilizada, pero con el proyecto la dinámica cambiaría. Por lo tanto, con el plan parcial se crea la necesidad de una estación que permita mejorar la accesibilidad en el sector de la clínica de los Remedios, que permita además integrarse con e| Corredor Verde y acceder a los servicios disponibles en el sector. (...)
Adicionalmente, se identificó que no hay una propuesta clara para la red dé cicloinfraestructura al interior del plan parcial y su conexión con la cicloinfraestructura proyectada. Se solicitó además la importancia de conservar las secciones transversales planteadas en al UPU donde la infraestructura se encuentra a nivel de vía.
Al respecto de lo planteado en la Calle 23, el Comité mencionó la importancia de mantener la sección de tres carriles en esta vía para que a futuro cuando sea construido el puente sobre el río Cali, se logre la continuidad de la vía y se conforme el par vial de la Calle 21 con la Calle 23. Se aclaró además que, a pesar de que el puente de la Calle 23 sobre el río no está dentro de los proyectos priorizados del POT, la Calle 23 si se encuentra conectada sobre el río Cali, en el mapa 30 de jerarquización. Además, el doble sentido que implementará próximamente La Secretaría de Movilidad sobre la Calle 21, responde a una necesidad de salida de la zona centro por parte de la comunidad, que se soluciona de forma completa con la construcción del puente sobre la Calle 23.
Conclusión
Terminada la discusión, el Comité de Movilidad Nivel Operativo considera que, la propuesta del plan parcial debe ajustarse a lo establecido en el POT 2014 y en el PIMU 2030, al respecto de la configuración vial del sector. Así mismo que el planteamiento del plan parcial tenga concordancia con lo establecido en el UPU 6 Centro.
(…)”.
Que mediante oficio No. 201941320500077131 del 14 de agosto de 2019, dirigido a la Empresa de Renovación Urbana EMRU EIC y a la Alianza para la Renovación Urbana de Cali- ARUC, la Subdirección de Planificación del Territorio reiteró las observaciones a la formulación del plan parcial El Hoyo y el Piloto. Oficio que fue recibido por el EMRU EIC el día 15 de agosto de 2019.
Que el día 15 de agosto de 2019, en relación con las observaciones realizadas por este organismo, se realizó reunión ese mismo día con el objeto de precisar los alcances de las mismas, se abordaron entre otros los siguientes temas:
“(...)
1. Prolongación de la Calle 23 y la Avenida 4, de conformidad con las recomendaciones del Comité de Movilidad realizado el pasado 17 de julio de 2019, así como la incorporación y localización de las ciclorrutas en las calzadas de las vías. La EMRU EIC menciona que acogerá este punto.
2. Integralidad de |a propuesta en cuanto a la evaluación de la zona verde localizada en la manzana A-0488, en la intersección de la Carrera 1 con Calle 25, la cual aún no cumple con los criterios del POT en cuanto al área mínima y su disposición. La EMRU EIC menciona que esta zona verde debe verse como todo con el resto de las cesiones, de manera que queda integrada con las demás zonas verdes, y ayuda a conformarla conexión entre la Carrera 1 y el río Cali. La Subdirección de Planificación del Territorio señala que deben realizar el análisis completo respecto a la propuesta de movilidad, por lo tanto, la decisión final sobre esta zona verde depende de lo que se concluya en el componente de movilidad para el enlace propuesto para acceso y salida del plan parcial hacia el oriente de la Carrera 1.
3. Definición y cálculo del Área Neta Urbanizable, de conformidad con los lineamientos dados por el Ministerio de Vivienda, Ciudad y Territorio, en cuento a que los suelos que ya son públicos al interior del área de planificación, no entran en el reparto de cargas y beneficios.
4. Persiste la propuesta que las áreas de cesión por concepto de zonas verdes no hagan parte de las Unidades de Actuación Urbanísticas, Se señaló por parte de la EMRU que esto les permite flexibilidad al momento de los licenciamientos, al poder localizar el cumplimiento de las cesiones en los predios donde más se ha avanzado el proceso de negociación y compra. No obstante, la SPT indica que esto no puede quedar a tan libre albedrío del Curador y puede diluirse la obligación, para lo cual se solicita que cada Unidad de Actuación Urbanística o de Gestión tenga definido claramente en el decreto la obligación de zona verde que debe ceder y adecuar.
(…)”.
Que dada la importancia y los ajustes que debían hacerse en los documentos de formulación en la reunión, la EMRU EIC solicitó un mes de plazo para la radicación de los ajustes, a lo cual la Subdirección de Planificación del Territorio accedió como consta en el Acta de reunión del día 15 de agosto de 2019.
Que el día 30 de agosto de 2019, la Unidad Administrativa Especial de Bienes y Servicios, remitió a la Subdirección de Planificación del Territorio la respuesta del Jefe de Oficina Contractual de Metrocali S.A, respecto a los predios comprendidos en el ámbito del citado plan parcial y que harán parte del proceso de entrega al ente territorial.
Que el 13 de septiembre de 2019 se realizó reunión de seguimiento para el ajuste de observaciones a la formulación del plan parcial El Hoyo y el Piloto, encontrándose que aún no estaban resueltos todos los temas para el ajuste de la formulación, motivo por el cual se concedió un mes más en los términos del artículo 17 de la Ley 1437 de 2011, como consta en la respectiva Acta de reunión.
Que en oficio No. 201941320500093341 del 25 de septiembre de 2019, la Subdirección de Planificación del Territorio, trasladó a la EMRU EIC la respuesta de la Unidad Administrativa Especial de Bienes y Servicios, para que ésta hiciera parte de los ajustes a la modificación propuesta.
Que el 11 de octubre de 2019, la Empresa de Renovación Urbana EMRU - EIC en conjunto con la Alianza para la Renovación Urbana de Cali - ARUC, mediante escrito No. 201941730101536082 radicaron la respuesta a observaciones a la formulación del plan parcial de Renovación urbana El Hoyo y el Piloto.
Que el17 de octubre de 2019, se realizó reunión entre los profesionales del equipo de planes parciales de la Subdirección de Planificación del Territorio y de la EMRU EIC, con el objeto de verificar la identificación de los predios localizados en el área de planificación del plan parcial y su debida relación espacial en las manzanas catastrales, entregadas en la radicación del 11 de octubre de 2019.
Que el 24 de octubre de 2019, mediante correo email dirigido a la Subdirectora de Planificación del Territorio, la Empresa de Renovación Urbana EMRU EIC., remitió la documentación pendiente para revisión de los ajustes a la formulación del plan parcial El Hoyo y el Piloto.
Que el 05 de noviembre de 2019, la Subdirección de Planificación del Territorio del Departamento Administrativo de Planeación Municipal, informó en oficio No. 201941320500109121 a la EMRU ElC y a la Alianza para la Renovación - ARUC, que con base en los asuntos discutidos y analizados los días 29, 30 y 31 de octubre de 2019 y 01 y 05 de noviembre de 2019, a la fecha, se encontraban pendientes algunos ajustes de áreas que impactaban, entre otros, el reparto equitativo de cargas y beneficios. Además, debía realizarse la radicación en medio físico y magnético, de conformidad con el artículo 2.24.1.1,7 del Decreto Nacional 1077 de 2015. Motivo por el cual, se le concedió a los formuladores un término de cinco (5) días para realizar los ajustes respectivos.
Que mediante escrito con radicación No. 201941730101650202 del 08 de noviembre de 2019, la EMRU EIC, remitió al Departamento Administrativo de Planeación Municipal, el documento técnico de soporte, la cartografía del ajuste y modificación del plan parcial de renovación urbana El Hoyo y el Piloto.
Que la propuesta para la infraestructura de servicios públicos domiciliarios, se formuló con base en los Oficios emitidos por la Jefatura del Departamento - Gerencia de la Unidad Estratégica del Negocio de Energía- EMCALI 5810404422018 del 21 de junio de 2018, Oficio No. 331.4-DR2082-13 del Departamento de Recolección -Catastro de Redes de Alcantarillado EMCALI del 23 de octubre de 2013, Oficio No. 5810812352018 del 15 de noviembre de 2018 suscrito por el Director Técnico del Departamento de Planeación de EMCALI.
Que mediante la Resolución No. 4132.2.21.004 del 12 de noviembre de 2019, la Resolución 4132.2.21-004 del 12 de noviembre de 2019, “POR LA CUAL SE EMITE CONCEPTO DE VIABILIDAD DE LA MODIFICACIÓN DEL PLAN PARCIAL EL HOYO Y EL PILOTO, ADOPTADO MEDIANTE DECRETO No. 411.20.0867 DEL 21 DE DICIEMBRE de 2007”, la Subdirección de Planificación del Territorio emitió concepto favorable para la modificación del plan parcial El Hoyo y el Piloto, la que fue notificada a los interesados el 19 de noviembre de 2019.
Que igualmente, en la Resolución antes citada se consignó que el presente plan parcial no se encuentra dentro de las situaciones descritas en el artículo 2.2.4.1.2.1 del Decreto Nacional 1077 de 2015, motivo por el cual no requiere surtir el proceso de concertación ambiental.
Que revisada la propuesta de formulación, la respuesta a las observaciones presentadas y los ajustes realizados, la Subdirección de Planificación del Territorio considera que el proyecto de modificación del Plan Parcial de Renovación Urbana El Hoyo y el Piloto, que contiene el documento de diagnóstico, documento técnico de soporte, formulación, componente ambiental y cartografía completa a escala 1:2000 y 1:5000, así como la documentación de servicios públicos, se encuentra acorde con lo establecido en el Decreto Nacional 1077 de 2015 y en el Acuerdo 069 de 2000, tal como se consigna en la Resolución No. 4132.2.21.004 del 12 de noviembre de 2019.
Que el Departamento Administrativo de Planeación Municipal DAPM, en cumplimiento de las disposiciones del artículo 2.2.4.1.3.1 del Decreto Nacional 1077 de 2015, mediante oficio con radicado No. 201941320500019294 recibido el 10 de diciembre de 2019, remitió al Departamento Administrativo de Gestión Jurídica de la Alcaldía el proyecta de Decreto para su revisión y trámite respectivo.
En virtud de lo anterior,
DECRETA:
DEFINICIONES GENERALES.
ARTÍCULO 1. Modifíquese el Decreto No. 411.20.0867 de 2007, "Por el cual se adopta el plan parcial de renovación urbana para la intervención integral de los barrios El Hoyo y El Piloto”, en los términos que se detallan en el presente decreto y de conformidad con el Documento Técnico y la Cartografía de Soporte que forman parte integral del mismo.
ARTÍCULO 2. Subróguese el Artículo 2 del Decreto Municipal 411.20.0867 de 2007, el cual quedará de la siguiente manera:
"ARTÍCULO 2. DOCUMENTOS DEL PLAN PARCIAL. El presente plan parcial está integrado por los siguientes documentos, los cuales constituyen su soporte técnico:
1. DOCUMENTO TÉCNICO DE SOPORTE.
Memoria técnica y justificativa del diagnóstico y de la formulación, que consta de Un documento escrito y cartografía de diagnóstico y de formulación.
2. CARTOGRAFÍA DE SOPORTE.
Forma parte integral del presente decreto, los siguientes mapas:
CUADRO 1. LISTADO DE LA CARTOGRAFÍA DEL PLAN PARCIAL.


ANEXOS
![]()
ARTÍCULO 3. Adiciónese el artículo 2A al Decreto Municipal No. 411.20-0867 del 21 de diciembre de 2007, el cual quedará así:
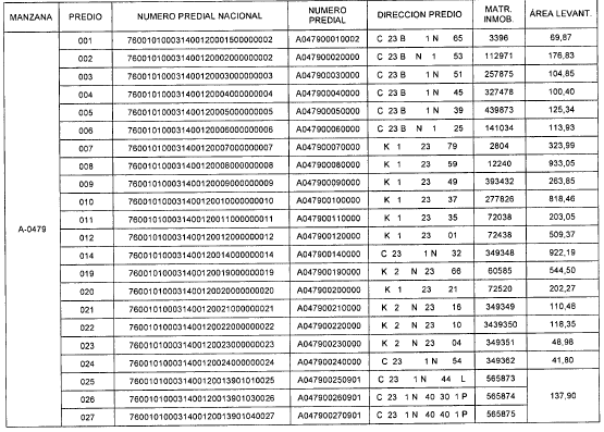
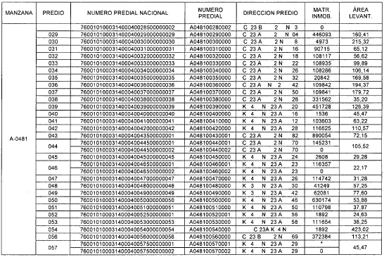
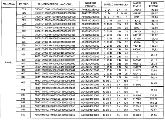
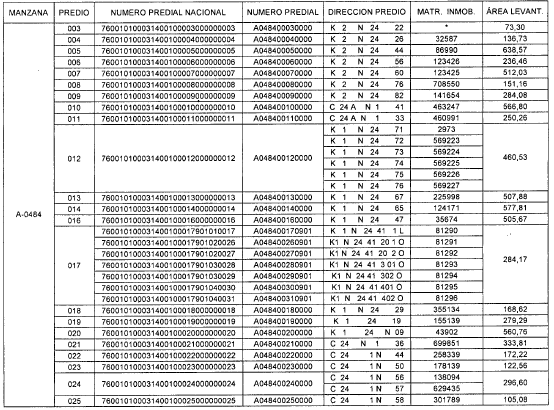
"ARTÍCULO 2A. ESTRUCTURA PREDIAL DEL ÁREA DE PLANIFICACIÓN. La composición predial del área de planificación, entendida esta como la Identificación de los predios privados que la componen, se presenta en el cuadro No. 2:
CUADRO 2. IDENTIFICACIÓN PREDIAL.



![]()
























*Predios identificados a partir de la Infraestructura de Datos Espaciales de Santiago de Cali -IDESC y de la base de datos de la Subdirección de Catastro Municipal, las cuales no identifican los folios de matrícula inmobiliaria.
PARÁGRAFO 1. Las áreas contenidas en el Cuadro No. 2 “Identificación Predial", corresponden a la información reportada por la EMRU EIC, de conformidad con el Levantamiento Topográfico realizado por Medimos S.A.S.
PARÁGRAFO 2. La obligación de realizar las rectificaciones, aclaraciones e incorporaciones que procedan por las posibles diferencias de áreas y de identificación predial aquí relacionadas, corresponderán a los formuladores, desarrolladores, urbanizadores y/o propietarios frente a la Subdirección de Catastro Municipal o la autoridad competente.
ARTÍCULO 4. Subróguese el artículo 8 del Decreto Municipal 0867 de 2007, el cual quedará de la siguiente forma:
"ARTÍCULO 8. El Área de Planificación del plan parcial corresponde al polígono comprendido entre los Sistemas de Movilidad, Ambiental, de Servicios Públicos, Patrimonio y del Subsistema Vial definidos en el Plan de Ordenamiento Territorial - Acuerdo 069 de 2000, como son:
Por el Norte: Margen derecha del Río Cali, en el tramo comprendido entre el eje de la Calle 15 y el eje de la Calle 25,
Por el Oriente: El eje de la Calle 25, entre el tramo comprendido entre la margen derecha del Río Cali y la Carrera 1,
Por el sur: El eje de la carrera 1, en el tramo comprendido entre, el eje de la Calle 25 y la Calle 17 continuando por la Carrera 2 hasta él eje de la Calle 15,
Por el occidente: El eje de la Calle 15, entre la margen derecha del Río Cali, y la Carrera 2.
PARÁGRAFO. La superficie delimitada del área de planificación del plan parcial, tiene una cabida de 235.037,27 m2, equivalente a 23.50 hectáreas aproximadas, que corresponde a las manzanas catastrales A-0461, A-0462, A-0464, A-0465, A-0466, A- 0469, A-0470, A-0473, A-0475, A-G476, A-0477, A-0478, A-0479, A-0481, A- 0482 A-0483, A-0484, A-0485, A-0486, A-0487 y A-0488; área que se encuentra delimitada en el plano No. 1 de 31 denominado DELIMITACIÓN DEL ÁREA DE PLANIFICACIÓN."
ARTÍCULO 5. Adiciónese el artículo 8A al Decreto Municipal No. 411.20.0867 del 21 de diciembre de 2007, el cual quedará así:
“ARTÍCULO 8A. DISTRIBUCIÓN GENERAL DE ÁREAS DEL PROYECTO. Adóptese el siguiente cuadro que contiene la distribución general de áreas para el desarrollo del presente plan parcial:
CUADRO 3. CUADRO GENERAL DE ÁREAS.

1. Ámbito de aplicación Art. 2.2.1.1 Decreto 1077 de 2015 (Art. 1, Decreto 075 de 2013).
2. Áreas a las que se refiere el Art. 2.2.1.1 Decreto 1077 de 2015.
3. Áreas a las que se refiere el Art. 2.2.1.1 Decreto 1077 de 2015 (En Área Neta Urbanizable; Numeral 5, Art, 2, Decreto 2181 de 2006 y Art. 1, Decreto 075 de 2013).
4. Ámbito de aplicación Art. 2.2.1.1 Decreto 1077 de 2015 (Art, 2, numeral 5, Decreto 2181 de 2006 y Art. 1, Decreto 075 de 2013).
5. Ámbito de aplicación Capítulo II (de las cesiones obligatorias), artículo 352 -Acuerdo 069 de 2000 (POT)-. La base de liquidación de las cesiones obligatorias de espacio público, corresponde a 97,871,5 m2; área correspondiente a la sumatoria dé los predios actuales objeto de intervención. El área mínima obligatoria a ceder es 14.680,73 m2 de espacio público, el cual corresponde al 15% del área útil actual, es decir, el área objeto de redesarrollo.
6. Ámbito de aplicación Art, 2.2.1.1 Decreto 1077 de 2015 (Artículo 1, numeral 6, Decreto 2181 de 2006).
PARÁGRAFO. Para el otorgamiento de las licencias de urbanización, el Curador Urbano deberá verificar el cumplimiento de los porcentajes correspondientes a las cesiones obligatorias, según lo establecido en el Artículo 37 en el presente Decreto."
SISTEMAS ESTRUCTURANTES DEL PLAN PARCIAL.
ARTÍCULO 6. Subróguese el artículo 13 del Decreto Municipal 411.20.0867 de 2007, el cual quedará de la siguiente manera:
"ARTICULO 13. SISTEMA DE MOVILIDAD DEL PLAN PARCIAL. El sistema vial del Plan Parcial, conformado por las vías principales y locales, se encuentra definido en el Plano No. 4 de 31 denominado. "SISTEMA ESTRUCTURANTE DE MOVILIDAD".
CUADRO 4. DESCRIPCIÓN GENERAL DE LAS VÍAS AL INTERIOR DEL ÁREA
DE PLANIFICACIÓN DEL PLAN PARCIAL.

PARÁGRAFO. Las obligaciones para construcción y adecuación de las vías, se desarrollan en el Artículo 37 del presente Decreto."
ARTÍCULO 7. Adiciónese el artículo 13A al Decreto Municipal No. 411.20-0867 del 21 de diciembre de 2007, el cual quedará así:
"ARTÍCULO 13A. CICLORRUTAS. En el área de planificación del presente plan parcial le corresponde el desarrollo de un carril bici en la Calle 21 y un carril compartido en la Calle 15, tal como se observa en el siguiente cuadro:
CUADRO 5. CICLORRUTAS EN EL PLAN PARCIAL.

PARÁGRAFO. La cicloinfraestructura al interior del área de planificación deberá desarrollarse de acuerdo con lo establecido en el Plan Maestro de Ciclorrutas - PLAMACIR, y estar separada por tachas o delineadores de carril. En las intersecciones con vías vehiculares, pasos peatonales o paradas del Sistema Integrado de Transporte Masivo, se deberán tener en cuenta las disposiciones contenidas en el Manual de Señalización Vial del Ministerio de Transporte, adoptado mediante Resolución 1885 de 2015.
ARTÍCULO 8. Adiciónese el artículo 13B al Decreto Municipal No. 411.20-0867 del 21 de diciembre de 2007, el cual quedará así:
"ARTÍCULO 13B. ESTACIONAMIENTOS Y ZONAS DE CARGUE Y DESCARGUE, Para el manejo de los estacionamientos de vehículos y las zonas de cargue y descargue del presente plan parcial, se deberá cumplir con los requisitos señalados en el Acuerdo Municipal 069 de 2000 - Plan de Ordenamiento Territorial, y las disposiciones que se den como resultado del Esquema Básico de Implantación o el instrumento que lo sustituya, aprobado por el Departamento Administrativo de Planeación Municipal - DAPM. Para el presente plan parcial se establece como norma específica de estacionamientos, un cupo de estacionamiento porcada sesenta (60) metros cuadrados de área neta destinada a comercio y/o servicios.
A su vez, para la definición de las zonas de cargue y descargue del proyecto, se establece que para éste efecto se deberá considerar un (1) metro cuadrado por cada cuarenta (40) metros cuadrados de área neta destinada a comercio y/o servicios.
PARÁGRAFO 1. Los desarrollos inmobiliarios que se deriven del presente Plan Parcial, podrán acogerse en lo pertinente a la reglamentación que se expida sobre la explotación del espacio público.
PARÁGRAFO 2. De conformidad con el artículo 103 del Acuerdo Municipal 069 de 2000, todo proyecto de uso comercial, de servicios o institucional que genere gran afluencia masiva de público, debe solucionaren su Interior los impactos urbanos que generen con su funcionamiento y por lo tanto, deben proyectar y construir bahías de estacionamiento de taxis y buses, zonas o áreas de cargue y descargue y pasos peatonales a nivel y desnivel en las vías del sistema vial principal, sobre las cuales den frente."
ARTÍCULO 9. Adiciónese El artículo 14A al Decreto Municipal No. 411.20.0867 del 21 de diciembre de 2007, el siguiente parágrafo:
ARTÍCULO 14A. PATRIMONIO ARQUEOLÓGICO, El área de planificación del Plan Parcial El Hoyo y El Piloto se ubica en un área de potencial y Expectativa Arqueológica Media, por lo cual, en aplicación del artículo 10 de la Ley 388 de 1997, deberá cumplirse con lo dispuesto en el Titulo V de la Parte VI del Decreto Nacional 1080 de 2015; particularmente lo fijado en el numeral 2 del artículo 2.6.2.2.
ARTÍCULO 10. Subróguese el artículo 15 del Decreto Municipal No. 411.20.0867 del 21 de diciembre de 2007, el cual quedará así:
"ARTÍCULO 15. EQUIPAMIENTO COLECTIVO. Por encontrarse el área de planificación del Plan Parcial El Hoyo y El Piloto en un sector desarrollado de la ciudad, no está obligada a realizar cesiones por concepto de equipamiento colectivo, de conformidad con el artículo 352 del Acuerdo Municipal 069 de 2000.''
ARTÍCULO 11. Subróguese el artículo 16 del Decreto Municipal 411.20.0867 de 2007, el cual quedará así:
“ARTÍCULO 16. SISTEMA DE ESPACIO PÚBLICO EFECTIVO. De conformidad con lo establecido en el artículo 352 del Plan de Ordenamiento Territorial y las disposiciones del presente Plan Parcial, las áreas de cesión para zonas verdes a que se obliga el ejecutor corresponden a mínimo el 15% del Área Bruta objeto de desarrollo. El área total de espacio público se identifica en los planos 14 de 31 denominado "PROPUESTA URBANA GENERAL", 15 de 31 denominado, "CAMBIOS EN LA ESTRUCTURA DE PROPIEDAD" y 21 de 31 denominado, ASIGNACIÓN DE CARGAS URBANÍSTICAS LOCALES. Las áreas destinadas específicamente a zonas verdes se presentan en él siguiente cuadro:
CUADRO 6. RESUMEN ÁREAS DE ESPACIO PÚBLICO EN EL PLAN PARCIAL.

CUADRO 7. ÁREAS DE CESIÓN Y ADECUACIÓN DE ESPACIO PÚBLICO.

ARTÍCULO 12. Adiciónese el artículo 16A al Decreto Municipal No. 411.20-0867 del 21 de diciembre de 2007, el cual quedará así:
"ARTICULO 16A. NORMAS GENERALES SOBRE ESPACIO PÚBLICO. Las obligaciones de espacio público, así como sus intervenciones, se deberán contemplar y ejecutar conforme a lo establecido en los artículos 344, 345, 346, 347, 352, 354, 355, 356, 357, 358, 359 y 369 del Acuerdo Municipal 069 de 2000 - Plan de Ordenamiento Territorial de Cali.
PARÁGRAFO 1. Teniendo en cuenta el esquema de gerencia establecido mediante las Resoluciones 4132.0.21.32 de 2009, 4132.021.063 de 2011, y 10.15-056-2014 del 6 de octubre de 2014, la Entidad Promotora y Ejecutora será la encargada de seleccionar la mejor alternativa para concretar el desarrollo del proyecto que surja en virtud de este instrumento de planificación, y, especialmente, deberá asegurar el cumplimiento de las cargas urbanísticas de espacio público que le corresponden al plan Parcial y a cada Unidad de Gestión, deberá presentar para aprobación un Proyecto Urbanístico General, en el marco del artículo 2.2.6.1.2.4.2 del Decreto Nacional 1077 de 2015, a través del cual se garantice el reparto de cargas y beneficios definido en el presente Plan Parcial, como requisito previo a la obtención de las licencias respectivas. El Curador verificará el cumplimiento de la anterior disposición.
PARÁGRAFO 2. Los diseños del espacio público peatonal, deberán cumplir con lo establecido por el Manual de Diseño y Construcción de los Elementos Constitutivos del Espacio Público - MECEP del Municipio de Santiago de Cali, adoptado mediante Decreto Municipal No. 411.0.20-.0816 de diciembre 6 de 2010 y por el Manual de Elementos Complementarios del Espacio Público - MECOEP adoptado por Decreto Municipal 4112.010.20.0888 del 25 de diciembre de 2017.
PARÁGRAFO 3. De conformidad con el artículo 398 del POT - Acuerdo Municipal 069 de 2000, todas las edificaciones, urbanizaciones y parcelaciones, deberán cumplir con las normas y disposiciones relacionadas con accesibilidad y tránsito de personas con movilidad reducida, vehículos, equipos y personal para la atención de emergencias, acorde con lo establecido en la Ley, en el Acuerdo Municipal 02 del 25 de febrero de 1997 y demás normas que los modifiquen y/o adicionen.
PARÁGRAFO 4. El tratamiento de arborización en zonas verdes, zonas blandas de andenes y separadores viales, debe enmarcarse según lo establecido en el Estatuto de Silvicultura Urbana, Acuerdo Municipal 0353 de 2013.
PARÁGRAFO 5. Para la intervención de cualquier individuo arbóreo en el área de planificación, se deberán solicitar los respectivos permisos ante el Departamento Administrativo de Gestión del Medio Ambiente - DAGMA."
ARTÍCULO 13. Adiciónese el artículo 16B al Decreto Municipal No. 411.20-0867 del 21 de diciembre de 2007, el cual quedará así:
"ARTÍCULO 16B. ENTREGA DE LA CESIÓN DE ZONAS PARA ESPACIO PÚBLICO. El proceso de entrega de las áreas de cesión de zonas destinadas para espacio público (zonas verdes y vías) se hará de acuerdo con el procedimiento establecido en la normativa vigente que regula la expedición de licencias urbanísticas. En todo caso, la entrega de cesiones deberá realizarse de conformidad con lo expuesto en el CUADRO GENERAL DE ÁREAS DE ESPACIO PÚBLICO del artículo 16 del presente Decreto.
ARTÍCULO 14. Subróguese el artículo 12 del Decreto Municipal No. 411.20.0867 del 21 de diciembre de 2007, el cual quedará así:
"ARTICULO 12. SISTEMA DE SERVICIOS PÚBLICOS DOMICILIARIOS ALUMBRADO PÚBLICO Y TICS. Los sistemas de Servicios Públicos domiciliarios para el Plan Parcial, elaborados con base en las especificaciones determinadas por cada una de las Empresas prestadoras de cada servicio, se encuentran detallados en el Documento Técnico de Soporte y sus anexos, y hacen parte integral del presente Decreto. El trazado de las redes de Servicios Públicos Domiciliarios se muestra en los planos: 27 de 31 SISTEMA ESTRUCTURANTE DE SERVICIOS PÚBLICOS DOMICILIARIOS - RED DE ACUEDUCTO PROPUESTA, 28 DE 31 SISTEMA ESTRUCTURANTE DE SERVICIOS PÚBLICOS DOMICILIARIOS - RED DE ALCANTARILLADO PROPUESTA, 29 DE 31 SISTEMA ESTRUCTURANTE DE SERVICIOS PÚBLICOS DOMICILIARIOS - REDES SECAS; ALUMBRADO PÚBLICO PROPUESTA, 30 DE 31 SISTEMA ESTRUCTURANTE DE SERVICIOS PÚBLICOS DOMICILIARIOS - REDES SECAS: MEDIA TENSIÓN PROPUESTA y 31 DE 31 SISTEMA ESTRUCTURANTE DE SERVICIOS PÚBLICOS DOMICILIARIOS - REDES SECAS: GAS Y TELEFONÍA PROPUESTA de la cartografía adoptada en el plan parcial.
PARÁGRAFO 1. Los anteriores planos corresponden a la modelación de la normativa contenida en la formulación del Plan Parcial, por lo tanto, los proyectos detallados de infraestructura deberán ser aprobados por la empresa prestadora del servicio. Las especificaciones técnicas de dichas redes, deben acogerse a los requisitos y términos de referencia para diseño y construcción que determinen las respectivas empresas prestadoras de servicios.
PARÁGRAFO 2. La expansión, traslado, reposición, refuerzo, optimización y/o adecuación de redes para la prestación de los servicios públicos en este plan parcial, se relacionan en el documento técnico de soporte a cargo de la empresa prestadora. Su ejecución se realizará en el marco del convenio interadministrativo No. 300-GAA-CIAC-1118-2017 suscrito entre EMCALI E.I.C.E E.S.P y la Empresa Municipal de Renovación Urbana – EMRU E.I.C.-. En todo caso, corresponde a la Entidad Promotora y Ejecutora garantizar su concreción, siendo una condición para el otorgamiento de las disponibilidades inmediatas de servicios públicos, de conformidad con el artículo 2.2.4.1.5.1 del Decreto Nacional 1077 de 2015, las cargas locales que serán objeto de reparto entre los propietarios de los inmuebles.
PARÁGRAFO 3. Toda la infraestructura requerida por el proyecto en lo correspondiente a redes de servicios públicos de energía, telecomunicaciones y gas, debe proveerse mediante la canalización de ductos (soterramiento), incluyendo reservas y cámaras, así como las acometidas al usuario final.
PARÁGRAFO 4. El diseño del sistema de alumbrado público deberá cumplir con lo establecido en el Reglamento Técnico de Iluminación y Alumbrado Público - RETILAP y el Reglamento Técnico de Instalaciones Eléctricas - RETIE, las demás normas concordantes, vigentes, aplicables en la materia, y acoger las recomendaciones técnicas sobre el tipo de iluminación que determine la Administración Municipal, a través del Departamento Administrativo de Planeación Municipal.
PARÁGRAFO 5. El proyecto deberá cumplir con lo establecido en el Decreto Municipal 411.0.20-1147 de diciembre 17 de 2015 "POR MEDIO DEL CUAL SE ADOPTA EL PLAN INTEGRAL DE RESIDUOS SÓLIDOS DEL MUNICIPIO DE SANTIAGO DE CALI 2015-2027 Y SE DICTAN OTRAS DISPOSICIONES". Así mismo, se debe dar cumplimiento a lo establecido por el Decreto Municipal 0059 de 2009 "Por medio del cual se adoptan los manuales para la implementación de Programas de Gestión Integral de Residuos Sólidos, en entidades públicas, instituciones educativas, conjuntos residenciales, centros comerciales, supermercados, almacenes de cadena y eventos masivos en el municipio de Cali y se dictan otras disposiciones", y demás normatividad vigente.
PARÁGRAFO 6. Será requisito para la expedición de las respectivas licencias de urbanización, la disponibilidad inmediata de prestación de servicios públicos, según lo dispuesto en el Decreto Nacional 1077 de 2015 y las demás normas que lo modifiquen o sustituyan."
NORMAS URBANÍSTICAS ESPECÍFICAS.
ARTÍCULO 15. Adiciónese el artículo 17A al Decreto Municipal No. 411.20.0867 del 21 de diciembre de 2007, el cual quedará así:
“ARTÍCULO 17A. ESTRUCTURA DE ESPACIOS PRIVADOS. El área útil privada corresponde a 82.922,30 m2. La estructura de espacios privados se expresa en el PLANO No. 14 de 31, PROPUESTA URBANA GENERAL y en el siguiente cuadro:
CUADRO 8. ÁREA ÚTIL RESULTANTE EN EL PLAN PARCIAL.

ARTÍCULO 16. Adiciónese el artículo 18A al Decreto Municipal 411.20.0867 de 2007, el cual quedará así:
"ARTÍCULO 18A. NORMAS SOBRE USOS DEL SUELO Y EDIFICACIÓN. El polígono correspondiente al área de planificación del plan parcial de renovación urbana El Hoyo y El Piloto, se reglamenta conforme a la Ficha Normativa que hace parte integral del presente Decreto y que se enseña a continuación, en cumplimiento de lo establecido por el Parágrafo 1 del Artículo 248 del Plan de Ordenamiento Territorial de Cali (Acuerdo 069 de 2000):
CUADRO 9. FICHA NORMATIVA DEL PLAN PARCIAL.





PARÁGRAFO. Los programas y proyectos para la ejecución del componente de gestión social del presente plan parcial, se detallan en el Capítulo lll-A del presente Decreto.
MECANISMOS Y PROCEDIMIENTOS DE GESTIÓN DEL PLAN PARCIAL.
ARTÍCULO 17. Subróguese el artículo 9 del Decreto Municipal 411.20.0867 de 2007, el cual quedará de la siguiente manera:
"ARTÍCULO 9. UNIDADES DE GESTIÓN. De conformidad con el artículo 2.2.4.1.6.1.1 del Decreto Nacional 1077 de 2015, el presente plan parcial está conformado por doce (12) Unidades de gestión de acuerdo con el plano No. 22 de 31 DELIMITACIÓN DE UNIDADES DE GESTIÓN, las cuales se relacionan a continuación:
1. Unidad de Gestión (UG) 1: Conformada por las manzanas con identificación catastral No. A-0461 y A-0466 y una porción de las manzanas A-0462 y A-0465 del barrio El Hoyo. Se encuentra delimitada por las calles 15 y 17 y las carreras 1 y 2 de la actual nomenclatura urbana municipal.
2. Unidad de Gestión (UG) 2: Conformada por la unión de las manzanas con identificación catastral No. A-0464, A-0469 y A-0470 y el área de las calles 17 y 18 entre las mismas al interior del barrio El Hoyo. Se encuentra delimitada por las calles 15N y 19 y las carreras 1 y 4N de la actual nomenclatura urbana municipal.
3. Unidad de Gestión (UG) 3: Constituida por la manzana identificada catastralmente como A-0475 en el barrio El Piloto. Se encuentra delimitada por las calles 21 y 22 y las carreras 1 y 2N.
4. Unidad de Gestión (UG) 4; Constituida por la manzana con identificación catastral No. A-0476 del barrio El Piloto y se encuentra delimitada por las calles 21 y 22 y las carreras 2N y 4N.
5. Unidad de Gestión (UG) 5: Conformada por una porción de la manzana con identificación catastral No. A-0477 del barrio El Piloto, Se encuentra delimitada por las calles 22 y 23 y las carreras 2N y 4N.
6. Unidad de Gestión (UG) 6: Conformada por la manzana con identificación catastral No. A-0478 al interior del barrio El Pilotó. Se encuentra delimitada por las calles 22 y 23 y las carreras 1 y 2N.
7. Unidad de Gestión (UG) 7: Conformada por la unión de las manzanas con identificación catastral No. A-0479 y A-0483 del barrio El Piloto y se encuentra delimitada por las calles 23 y 24 y las carreras 1 y 2N.
8. Unidad de Gestión (UG) 8: Constituida por la manzana identificada catastralmente como A-0480 y una porción de la manzana A-0481 en el barrio El Piloto. Se encuentra delimitada por la calle 23 y la propuesta de calle 23A y las carreras 2N y 4N.
9. Unidad de Gestión (UG) 9: Constituida por la fusión de una parte de la manzana identificada catastralmente como A-0482, una porción de la manzana A-0481 y el área de la calle 23B entre ambas manzanas en el barrio El Piloto. Se encuentra delimitada por la propuesta calle 23A y la calle 24 y las carreras 2N y 4N.
10. Unidad de Gestión (UG) 10: Constituida por la manzana con identificación catastral No. A-0484 del barrio El Piloto y se encuentra delimitada por las calles 24 y 24A y las carreras 1 y 2N de la actual nomenclatura urbana municipal.
11. Unidad de Gestión (UG) 11: Constituida por la unión de una parte de la manzana identificada catastralmente como A-0486, una porción de la manzana A-0485 y el área de la carrera 3N entre ambas manzanas en el costado nororiental del barrio El Piloto. Se encuentra delimitada por las calles 24 y 24A y las carreras 2N y 4N.
12. Unidad de Gestión (UG) 12: Constituida por la unión de una parte de las manzanas identificadas catastralmente como A-0487 y A-0488 y el área de la carrera 2N entre ambas manzanas en el extremo norte del barrio El Piloto, Se encuentra delimitada por las calles 24A y 25 y las carreras 1 y 4N.
PARÁGRAFO. Para el desarrollo del plan parcial y, a partir del esquema de reparto equitativo de cargas y beneficios, así como el modelo de gestión propuesto, es obligatorio la obtención de un Proyecto Urbanístico General para la ejecución del mismo, el cual, previamente deberá cumplir con los requisitos establecidos en la Sección 6, artículos 2.2.4.1.6.1.1 al 2.2.4.1.6.2.4 de! Decreto Nacional 1077 de 2015, o aquella que la modifique o sustituya, además de lo dispuesto en los artículos 9, 9A, 9B, 16B, 37 y 39 del presente Decreto.”
ARTÍCULO 18. Adiciónese el Artículo 9A al Decreto Municipal 411.20.0867 de 2007, el cual quedará de la siguiente manera:
"ARTÍCULO 9A. NORMA APLICABLE A LAS UNIDADES DE ACTUACIÓN URBANÍSTICA Y/O DE GESTIÓN. Teniendo cuenta que el plan parcial se encuentra conformado por doce (12) Unidades de Actuación Urbanística y/o de Gestión, a continuación se relaciona la norma aplicable para cada una de ellas:
CUADRO 10. ÍNDICES DE CONSTRUCCIÓN Y OCUPACIÓN APLICABLES A LAS UNIDADES DE GESTIÓN.

ARTÍCULO 19. Adiciónese el artículo 9B al Decreto Municipal No. 411.20.0867 del 21 de diciembre de 2007, el cual quedará así:
"ARTICULO 9B. RECONFIGURACIÓN PREDIAL PARA LA EJECUCIÓN DEL PROYECTO. El presente Decreto aprueba en sus aspectos técnicos el planteamiento urbanístico, el cual, para su desarrollo requiere de una nueva configuración predial que se concretará mediante lo dispuesto en el artículo 2.2.4.1.6.1.2 de Decreto Nacional 1077 de 2015.
En consecuencia, se deberá realizar la relocalización del área correspondiente a los tramos de las vías que se señalan en el Cuadro 11, que se encuentran dentro del área de planificación y constituyen zonas públicas. La reconfiguración del espacio público y la estructura urbana se sustenta en la necesidad de obtener un uso más eficiente del suelo. Para dar cumplimiento a lo dispuesto en el presente artículo, se deberá obtener licencia de urbanización, en virtud de lo dispuesto en los numerales 3 y 6 del artículo 299, 325 y 510 del Acuerdo Municipal 069 de 2000 y demás normas aplicables a la materia.
El Departamento Administrativo de Planeación Municipal - DAPM, en el marco de sus competencias, verificó que los replanteamientos de bienes de uso público que se generan producto de lo señalado por el artículo 299 del Acuerdo Municipal 069 de 2000; de acuerdo con la propuesta, se localizan dentro del área dé planificación del Plan Parcial El Hoyo y El Piloto y cumplen con las dimensiones requeridas.
Los aprovechamientos urbanísticos dispuestos en el presente Decreto, estarán supeditados al cumplimiento de la legalización y entrega efectiva de los espacios públicos restituidos al Municipio.
Las zonas a relocalizar y a adecuar, mediante el proceso de integración inmobiliaria y el urbanismo correspondiente, se resumen en el siguiente cuadro y en el plano No. 15 de 31 denominado, "CAMBIOS EN LA ESTRUCTURA DE LA PROPIEDAD".
CUADRO 11. ÁREAS DE ZONAS PÚBLICAS A RELOCALIZAR EN EL PLAN PARCIAL.
(ÁREAS A COMPENSAR)



CUADRO 13. RELACIÓN DE ÁREAS A COMPENSAR Y DE COMPENSACIÓN.

PARÁGRAFO. En todo caso, para el cumplimiento de las disposiciones de este artículo y, teniendo en cuenta que la nueva definición predial implica la participación de Bienes de Uso Público, el proceso deberá contar con la anuencia del Municipio de Santiago de Cali".
ARTÍCULO 20. Adiciónese el artículo 9C al Decreto Municipal No. 411.20.0867 del 21 de diciembre de 2007 el cual quedará así:
"ARTÍCULO 9C. ESQUEMA BÁSICO. El trámite de las licencias de urbanización de los proyectos a ejecutar en la aplicación de este Plan Parcial, se resolverá de acuerdo con la cartografía y la normatividad señalada en el presente Decreto, por lo tanto, para tramitar las correspondientes licencias urbanísticas de los proyectos a ejecutar en desarrollo del presente plan parcial de renovación urbana, no se requerirá de solicitud y expedición del Esquema Básico señalado en el artículo 395 del Acuerdo Municipal 069 de 2000."
ARTÍCULO 21. Subróguese el Artículo 37 del Decreto Municipal 411.20,0867 de 2007, el cual quedará de la siguiente manera:
“ARTÍCULO 37. CARGAS URBANÍSTICAS Y REPARTO EQUITATIVO. De conformidad con el reparto equitativo de cargas y beneficios propuesto por el Plan Parcial en el Documento técnico de Soporte, las Unidades de Gestión o Unidades de Actuación no son autónomas, por lo cual, e total de las obligaciones urbanísticas del Plan Parcial se deberán ejecutar por parte de los titulares del derecho de dominio de los inmuebles a través de un Ente Gestor, el cual puede ser constituido por cualquiera de las figuras consideradas en el ordenamiento jurídico, tales como, una Fiducia Mercantil, una Sociedad Comercial, un Patrimonio autónomo, etc., tal como se establece en el modelo de gestión del Plan Parcial contenido en la simulación financiera.
En consecuencia, todos los titulares de derecho de dominio de los inmuebles que forman parte del Plan Parcial, deben participar del Entidad Promotora y Ejecutora para la ejecución de las obligaciones urbanísticas de cada una de las Unidades de Gestión o Unidades de Actuación Urbanísticas. Para efectos de lo anterior, el total de cargas urbanísticas del Plan Parcial fueron cuantificadas en 72.843 puntos.
En el siguiente cuadro se especifican las áreas destinadas a las ampliaciones de vías al interior del área de planificación contempladas en la propuesta urbana general y se señalan en gris las que hacen parte del Sistema Vial Principal.
CUADRO 14. AMPLIACIONES DEL SISTEMA VIAL PRINCIPAL (M2).

El siguiente cuadro contiene una síntesis del cálculo de las cargas urbanísticas del plan parcial:
CUADRO 15. CARGAS, CESIONES Y ADECUACIONESE.


El total de cargas urbanísticas del Plan Parcial fueron cuantificadas en 72.843 puntos, por tanto las obligaciones urbanísticas por cada unidad de gestión (UG) de acuerdo al aprovechamiento proyectado, se especifica en el siguiente cuadro, el cual muestra según la anterior consideración como fueron distribuidas equitativamente:

ARTÍCULO 22. Subróguese el artículo 39 del Decreto Municipal No. 411.20-0867 del 21 de diciembre de 2007, el cual quedará así:
"ARTÍCULO 39. DESARROLLO DE LAS UNIDADES DE GESTIÓN. De conformidad con el reparto equitativo de cargas y beneficios propuesto por el Plan Parcial en el Documento técnico de Soporte, las Unidades de Gestión o Unidades de Actuación no son autónomas, por lo cual, el total de las obligaciones urbanísticas del Plan Parcial se deberán ejecutar por parte de los titulares del derecho de dominio de los inmuebles a través de una Entidad Promotora y Ejecutora, el cual puede ser constituido por cualquiera de las figuras consideradas en el ordenamiento jurídico, tales como, una Fiducia Mercantil, una Sociedad Comercial, un Patrimonio autónomo, etc., tal como se establece en el modelo de gestión del Plan Parcial contenido en la simulación financiera.
En consecuencia, todos los titulares de derecho de dominio de los inmuebles que forman parte del Plan Parcial, deben participar de la Entidad Gestora y Promotora, para la ejecución de las obligaciones urbanísticas de cada una de las Unidades de Gestión o Unidades de Actuación Urbanística. Para efectos de lo anterior, se deberá tener en cuenta la distribución de cargas por cada Unidad de Gestión señalada en el artículo 37 del presente Decreto.
ARTÍCULO 23. Adiciónese al Decreto Municipal No. 411.20-0867 del 21 de diciembre de 2007 el siguiente capítulo, el cual quedará inserto como Capítulo lll-A, con sus artículos correspondientes, a saber:
GESTIÓN SOCIAL DEL PLAN PARCIAL.
ARTÍCULO 24. Adiciónese los artículos 19A, 20A, 21A, 22A y 23A que comporten el capítulo de gestión social.
ARTÍCULO 19A. POBLACIÓN OBJETIVO. Este capítulo desarrolla el perfil de los programas y proyectos del componente social del presente plan parcial:
- Población residente que tenga la condición de propietario o arrendatario
- Comerciantes: formales
PARÁGRAFO. La población objetivo de que trata el presente artículo, será atendida por el Municipio de Cali, la EMRU EIC o las entidades públicas o privadas que se vinculen al Plan de Gestión Social, toda vez que el presente proyecto es una actuación urbana integral de iniciativa pública. La población con las condiciones más altas de vulnerabilidad como los habitantes en situación de calle, serán atendidos en el marco de los programas sociales que el sistema de atención a habitantes de y en calle tiene el Municipio de Cali- Para aquellos que, con otras necesidades de restitución de derechos presente la comunidad, se propenderá por la articulación interinstitucional e intersectorial, promoviendo la focalización del gasto, el uso racional de los recursos del estado y la participación de los privados y la comunidad en un ejercicio permanente de corresponsabilidad.
ARTÍCULO 20A. REQUISITOS PARA LA IMPLEMENTACIÓN DEL PLAN DE GESTIÓN SOCIAL. Para la implementación del Plan de Gestión Social, se requiere previamente la actualización de la línea base y su respectivo ajuste con base en los objetivos, estrategias y lineamientos generales incluidos en el presente Decreto, los cuales definirán las actividades específicas de cada uno de los programas, así como el cronograma y la programación financiera para su ejecución.
Así mismo, se determinarán cuáles de los programas y/o proyectos se deberán implementar de forma continua o temporal, así como aquellos que serán aplicados de manera puntual por la respectiva Unidad de Actuación Urbanística y/o de Gestión.
ARTÍCULO 21A. OBJETIVOS DEL PLAN DE GESTIÓN SOCIAL. Se establecen los siguientes objetivos para el Plan de Gestión Social del Plan Parcial El Hoyo y El Piloto.
Objetivo general:
Prevenir, mitigar, compensar y/o manejar los impactos o afectaciones que puedan percibir las unidades sociales con la implementación del plan parcial, generando escenarios de participación y de oportunidades que contribuyan al mejoramiento de los indicadores de desarrollo social y económico individual y comunitario, potenciando los beneficios resultantes del proyecto en favor de las comunidades asentadas en las zonas de intervención y en la ciudad, enmarcando la intervención bajo principios de inclusión y participación, ejercicio del pluralismo, respeto por la dignidad humana y el Estado social de derecho, desde un enfoque de protección, garantía y promoción de los Derechos Humanos.
Objetivos específicos:
- Crear una estructura para la gestión estratégica y operativa del Plan, que permita articular las diferentes dependencias del sector público, garantizando la idealización desgasto, la coordinación de acciones y mitigando los impactos de la renovación urbana.
- Acompañar el traslado o relocalización temporal o permanente de todas las unidades sociales residentes en el área de intervención del plan parcial.
- Diseñar de manera diferenciada las estrategias de mitigación y promoción que posibilitaran su inclusión en las rutas de atención y asistencia del Estado, en la creación de oportunidades facilitadoras para el fortalecimiento y mejoramiento de sus competencias y capacidades individuales, colectivas y/o gremiales.
- Propender por la reactivación económica, la consolidación de usos comerciales y la permanencia de las actividades económicas viables en la zona, vinculando el mayor número de comerciantes y actividades económicas, priorizando el encadenamiento productivo, el mantenimiento de los empleos, la formalización y la legalidad.
- Propender por generar las condiciones para el mejoramiento de los indicadores de desarrollo social y económico de las unidades sociales, de forma tal que adquieran y fortalezcan las competencias necesarias para retornar a la zona de planificación.
- Propender por el mejoramiento de las condiciones de habitabilidad de la población residente en el área de afectación directa del plan parcial de renovación urbana integral, así como por el aumento de la oferta y mejoramiento en la calidad de las condiciones de uso y disfrute social del espacio público, de referentes urbanísticos significativos, en especial aquellos correspondientes al orden natural paisajístico,
ARTÍCULO 22A. LÍNEAS, PROGRAMAS Y PROYECTOS. La ejecución del plan de gestión social deberá contemplar los siguientes componentes, los cuales a su vez comprenden líneas, programas, proyectos y actividades específicas:
- Componente de Promoción y Protección Social
- Línea estratégica 1: Acompañamiento al traslado
- Línea estratégica 2: Restitución de derechos
- Línea estratégica 3: Acompañamiento psicosocial
- Línea estratégica 4: Ciudadanía y participación
- Componente Empresarial
- Línea Estratégica 1: Fortalecimiento Empresarial
- Componente Ambiental
- Línea Estratégica 1. Articulación Social y Medio Ambiental
- Componente de información, sistematización y comunicación
- Línea estratégica 1: Sistematización y gestión documental
- Línea estratégica 2: Información y Comunicación
- Componente de Vinculación, Compra e Inversión
- Línea estratégica; Vinculación, Compra, Inversión
Los mencionados componentes serán desarrollados conceptualmente, describiendo las líneas estratégicas operativas, los programas, proyectos y acciones generales a implementar. Esta formulación operativa del PGS no es fija; como toda acción social, su ejecución dependerá de las condiciones cambiantes del contexto, de la participación y corresponsabilidad que sea asumida por los actores involucrados, grupos de Interés y organismos públicos y privados.
En el siguiente cuadro resumen, se señala el esquema estratégico del Plan de Gestión Social, que contiene los Componentes, las Líneas Estratégicas, los Programas y los Proyectos derivados que lo constituyen:


PARÁGRAFO. El detalle inherente a los Programas y Proyectos del plan de gestión social del plan parcial El Hoyo y El Piloto, se encuentran contenidos en el Documento Técnico de Soporté - DTS, el cual forma parte integral del presente Decreto.
ARTÍCULO 23A. EJECUCIÓN PLAN DE GESTIÓN SOCIAL. La ejecución y coordinación del plan de gestión social del presente plan parcial es una responsabilidad inherente al desarrollo del mismo, y la responsabilidad de su ejecución quedará en cabeza de la Entidad Ejecutora y Operadora del mismo, sin perjuicio de la activa y coordinada participación de las entidades públicas, privadas y no gubernamentales que tienen corresponsabilidad en su ejecución.
PARÁGRAFO 1. Para la ejecución de las actividades que se enuncian en el presente artículo, la entidad ejecutora y operadora del Pian de Gestión Social (Empresa Municipal de Renovación Urbana - EMRU EIC) será la responsable de realizar la convocatoria a entidades estatales y no gubernamentales que puedan, por su objeto social y competencia, participar en la intervención social del presente proyecto.
PARÁGRAFO 2. Al momento de ejecución de las Unidades de Actuación Urbanística y/o de Gestión, la Empresa Municipal de Renovación Urbana - EMRU ElC como gestora y ejecutora del plan parcial, se encargará de implementar y aplicar el Plan de Gestión Social con los ajustes que sean necesarios. La inversión que realicen los promotores privados de dichas Unidades de Actuación Urbanística y/o de Gestión en la ejecución del citado plan de gestión social, constituye una carga local del plan parcial.
PARÁGRAFO 3. Con base en el estudio social que se realice, la entidad responsable de la gestión y promoción del plan parcial determinará la forma en la que se realizarán los aportes correspondientes a la ejecución del Plan de Gestión Social, para lo cual podrá constituirse un encargo fiduciario como mecanismo para acoger los recursos y programar la puesta en marcha de plan social.
PARÁGRAFO 4. Con base en el estudio social realizado y el Contrato de Asociación suscrito entre el promotor privado del plan parcial y la Empresa Municipal de Renovación Urbana - EMRU ElC, se determinará la forma en la que se realizarán los aportes correspondientes a la ejecución del Plan de Gestión Social, para lo cual se constituirá un encargo fiduciario como mecanismo para acoger los recursos y programar la puesta en marcha del plan de gestión social."
DISPOSICIONES FINALES.
ARTÍCULO 25. Subróguese el artículo 40 del decreto de adopción, 411.20.0867 de 2007, el cual quedará de la siguiente manera:
"Artículo 40. EJECUCIÓN DE OBRAS A CARGO DEL MUNICIPIO. Los componentes de la acción sectorial del Municipio en el proyecto, incluirán la ejecución de las obras de mitigación de riesgo en las márgenes del río Cali, y de infraestructura de ampliación y/o adecuación vinculada a las siguientes vías:
a) Calle 21 entre carreras 1 y 4N
b) Carrera 1 entre calles 15 y 25
c) Calle 15 entre carreras 1 y 2
d) Avenida 3N entre carreras 1 y 4N
e) Calle 23 entre carreras 4N y 1,"
ARTÍCULO 26. Subróguese el Artículo 43 del Decreto Municipal 411.20.0867 de 2007, el cual quedará así:
"ARTÍCULO 43. REMISIÓN A OTRAS NORMAS. Los aspectos no regulados en el presente Decreto se regirán por las normas contenidas en el Acuerdo 069 de 2000 (POT), el Decreto 1077 de 2015 y la Ley 388 de 1997."
ARTÍCULO 27. Subróguese el Artículo 44 del Decreto Municipal 411.20.0867 de 2007, el cual quedará así:
"ARTÍCULO 44. LICENCIAS URBANÍSTICAS, Deberán tramitarse ante las autoridades competentes las correspondientes licencias de urbanización y construcción de conformidad con las disposiciones contenidas en el Plan Parcial, sus respectivos ajustes y las demás normas municipales y/o nacionales que le sean aplicables."
PARÁGRAFO 1. Como requisito previo para la solicitud de licencia de construcción, el proyecto deberá contar el concepto de técnico de altura emitido por la Fuerza Aérea Colombiana, en el que se indique la altura máxima permitida. En todo caso actualmente se cuenta con un concepto técnico de alturas emitido mediante el oficio 201911030013621, del veintiuno (21) de agosto de 2019, el cual podrá ser modificado y sustituido por el ente competente, sin que implique modificación al presente acto.
ARTÍCULO 28. Subróguese el Artículo 45 del Decreto Municipal 411.20.0867 de 2007, el cual quedará así:
"ARTÍCULO 45. INCORPORACIÓN EN LA CARTOGRAFÍA. El Departamento Administrativo de Planeación Municipal - DAPM efectuará las anotaciones de los planos del Plan Parcial y sus correspondientes ajustes en la cartografía oficial del municipio, según lo dispuesto en el presente Decreto."
ARTÍCULO 29. Adiciónese el artículo 45A al Decreto Municipal No. 411.20-0867 del 21 de diciembre de 2007, el cual quedará así:
"ARTÍCULO 45A. INTERPRETACIÓN NORMATIVA. Corresponde al Departamento Administrativo de Planeación Municipal - DAPM la interpretación de ausencia de norma exactamente aplicable o contradicciones que surjan de la aplicación del presente Decreto en concordancia con lo establecido en el artículo 102 de la Ley 388 de 1997 y el artículo 2.2.6.6.1.4 del Decreto Nacional 1077 de 2015."
ARTÍCULO 30. Subróguese el Artículo 46 del Decreto Municipal 411.20.0867 de 2007, el cual quedará así:
ARTÍCULO 46. PLUSVALÍA. Para efectos de la aplicación del Decreto Extraordinario No. 411.020.0259 de mayo 06 de 2015 "Por el cual se compilan los Acuerdo Municipales 0321 de 2011, 0338 de 2012, 0339 de 2013, 0346 de 2013, 0357 de 2013, 0380 de 2014, que conforman el Estatuto Tributario Municipal'', el Acuerdo 0434 de 2017 "Por el cual se modifica parcialmente el Estatuto Tributario Municipal y se dictan otras disposiciones", y el Decreto 411.010.20.0306 de 2019 "Por el cual se efectúa una delegación y se dictan otras disposiciones", el Departamento Administrativo de Planeación, realizará el informe técnico normativo para la determinación de hechos generadores de la participación en la plusvalía, y remitirá a la Subdirección de Catastro del Departamento Administrativo de Hacienda para su estimación.
ARTÍCULO 31. Subróguese el Artículo 47 del Decreto Municipal 411.20.0867 de 2007, el cual quedará así:
“ARTÍCULO 47. PLAZO DE EJECUCIÓN. El presente Plan Parcial, tendrá una vigencia de quince (15) años contados a partir de la publicación del presente Decreto.
ARTÍCULO 32. Adiciónese el Artículo 47A al Decreto Municipal 411.20.0867 de 2007, el cual quedará así:
ARTÍCULO 47A. AJUSTE DEL PLAN PARCIAL. De acuerdo con lo estipulado en el Decreto Nacional 1077 de 2015, las modificaciones deberán surtir el mismo trámite establecido para su formulación y adopción, y se efectuarán teniendo en cuenta únicamente las instancias o autoridades a cuyo cargo se encuentren los asuntos objeto del ajuste necesario para él desarrollo del respectivo plan.
ARTÍCULO 33. Deróguense los artículos 7, 17, 18, 19, 20, 21, 22, 23, 24, 25, 26, 27, 28, 29, 30, 31, 32, 33, 34, 35, 38 y 41 del Decreto Municipal No. 411.20-0867 del 21 de diciembre de 2007, los demás artículos del Decreto Municipal No. 411.20-0867 de 2007, que no hayan sido objeto de modificación y/o adición a través del presente decreto, continuarán vigentes y surtirán plenos efectos jurídicos.
ARTÍCULO 34. VIGENCIA. El presente Decreto rige a partir de su publicación en el Boletín Oficial del Municipio.
Dado en Santiago de Cali, a los 31 días del mes de diciembre de 2019.
MAURICE ARMITAGE CADAVID
Alcalde de Santiago de Cali.